
信頼区間 日経リサーチ

第8章 標本からの未知量の推定 Jamoviで学ぶ心理統計
2

2012 039994号 主成分算出方法 トランスクリプトーム解析方法 遺伝子 老化判定方法 コンピュータプログラム 記憶媒体 及び解析装置 Astamuse

2014 035653号 母集団大きさ推定方法 母数推定方法 遺伝子発現量解析方法 データ分析方法 感度測定方法 プログラム 記録媒体 及び母集団大きさ推定装置 Astamuse

統計の基礎
1

2012 039994号 主成分算出方法 トランスクリプトーム解析方法 遺伝子 老化判定方法 コンピュータプログラム 記憶媒体 及び解析装置 Astamuse

中心極限定理の意味 サイコロの具体例から分かる確率分布の正規近似 アタリマエ

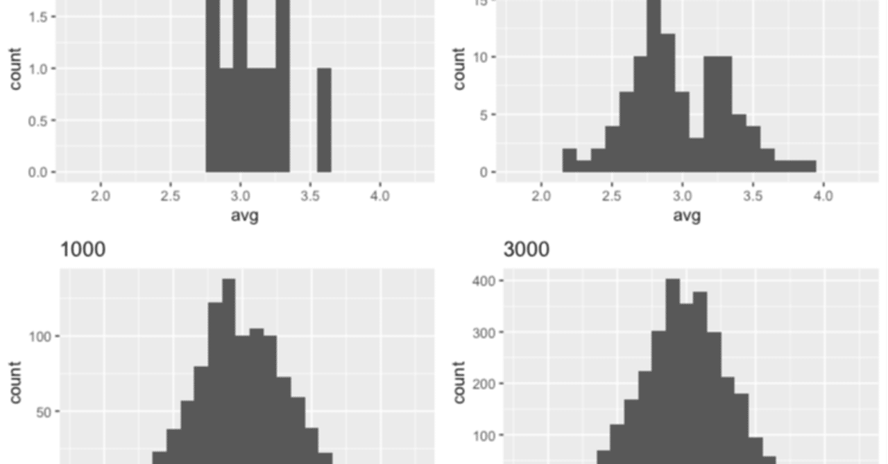
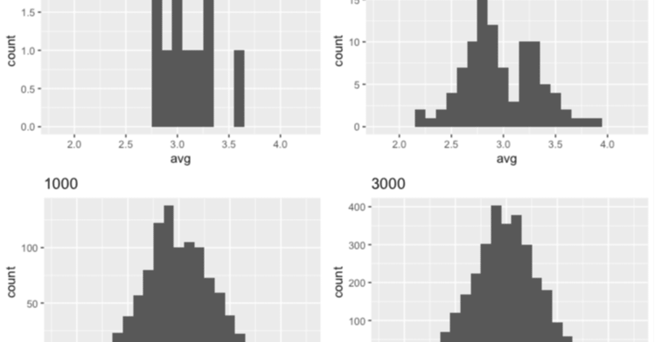
中心極限定理 Clt と向き合う With R はなだて Note
Rの練習 Rの乱数で中心極限定理を確かめてみる Statsbeginner 初学者の統計学習ノート
Tags:
Archive